В результате увеличения средней продолжительности жизни, характерного для цивилизованного общества, возросло количество больных, страдающих хроническими заболеваниями, в том числе трофическими нарушениями. К числу последних относятся трофические язвы голени и пролежни. По статистике эта патология встречается у 311% больных, находящихся на лечении в стационарах. В Венгрии ежегодно насчитывается около 10 000 больных с пролежнями [1]. Рост числа случаев трофических нарушений в городских популяциях объясняется малоподвижным образом жизни, питанием, содержащим недостаточное количество растительных волокон, ожирением. Язвы голени в 8590% имеют венозное происхождение [2]. По опубликованным данным, в 40% случаев они возникают вследствие хронической супрафасциальной венозной недостаточности [2].
Язвы чисто артериального происхождения (несмотря на то что по частоте они занимают второе место после язв венозной этиологии) встречаются сравнительно редко. У 9% больных имеет место смешанная язва: венозный застой сопровождается закупоркой артерий [2]. Язва, возникающая при сахарном диабете, обусловлена диабетической макро- или микроангиопатией. Причем у данной категории больных лечение протекает значительно труднее.
Четкие данные о распространенности язв голени в Венгрии отсутствуют. Но, исходя из того, что по различным оценкам заболеваемость составляет 0,21%, по меньшей мере 20 000 больных ежегодно нуждаются в лечении [2]. При язвах голени первоочередными задачами являются: лечение (по возможности хирургическое) основного заболевания, а также профилактические мероприятия. Для профилактики пролежней решающее значение имеет адекватный уход за иммобилизированными больными. Арсенал средств, используемых для местного лечения, значительно обогатился в последние годы, но несмотря на это, результаты все еще не вполне удовлетворительные.
Расходы на лечение трофических язв весьма велики. Принятое ранее стационарное лечение в течение нескольких месяцев является экономически нецелесообразным. В связи с этим возникла необходимость в создании современного "cost-effective" препарата, удобного для самостоятельного применения под наблюдением врача.
Действующее вещество оригинального препарата Химического завода "Гедеон Рихтер" ассоциат гиалуроновой кислоты и цинка
Со времени своего основания "Гедеон Рихтер" А. О. занимается выделением органотерапевтических действующих веществ и имеет многолетний опыт по исследованию мукополисахаридов и, в частности, гликозаминогликанов.
Органотерапевтические вещества занимают особое место среди естественных действующих веществ, так как они сходны с макромолекулами организма.
В последние годы было выявлено множество свойств мукополисахаридов, которые могут быть использованы в различных областях медицины. Поэтому количество препаратов мукополисахаридной природы постоянно растет. Они находят свое применение как в медицине (при офтальмологических операциях, в качестве имплантатов, для ускорения заживления ран, при лечении воспалений суставов, в качестве носителя действующего вещества лекарственного препарата), так и в косметологии (для повышения эластичности кожи и увеличения содержания в ней воды).
Химические свойства
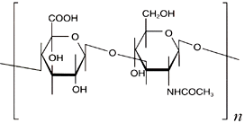
Гиалуроновая кислота является гомополимером М-ацетил-О-глюкозамина и D-глюкуроновой кислоты, соединенных бета-13 связью. Молекулярная масса колеблется в пределах от 10 000 до нескольких миллионов.
Исследования, проведенные в последние годы, выявили, что в водных растворах гиалуроновая кислота связывается с большим количеством молекул с образованием плотного молекулярного "сита". Дисперсионный матрикс образует канальцы для селективной диффузии водорастворимых молекул [3]. На молекуле регулярно повторяются гидрофобные области, способствующие взаимодействию с коеточными мембранами и белками гидрофобного типа [3].
Ранее считалось, что каротин цинка, обладающий целым рядом свойств, способствующих заживлению ран, не образует соединения с гиалуроновой кислотой [4]. Исследователи Завода "Гедеон Рихтер" опровергли это заблуждение и изготовили ассоциат гиалуроновой кислоты и цинка. Термин "ассоциат" указывает на одновременное наличие ионных и ковалентных связей цинка, обеспечивающих большую стабильность.
КУРИОЗИН ® представляет собой вязкий прозрачный стерильный водный раствор физиологической осмолярности при pH 56.
Роль гиалуроновой кислоты и цинка в заживлении ран
Гиалуроновая кислота является основным компонентом соединительной ткани. В организме присутствует в виде натриевой соли. В наибольшей концентрации содержится в кожных покровах, синовиальной жидкости, стекловидном теле, хрящевой ткани и пуповине. Поскольку гиалуроновая кислота является веществом, ответственным за заполнение межклеточного пространства и за механическую защиту клеток, долгое время ее биологическую роль считали неспецифической и чисто мехинической. В результате последних исследований это упрощенное представление изменилось: была доказана активная роль внеклеточного матрикса.
Гидрофильная дисперсионная молекулярная сеть обеспечивает среду для диффузионных процессов, необходимых для клеточного дыхания [3].
Взаимодействие гиалуроновой кислоты и клеток осуществляется при участии рецепторов гиалуроната (5, 6) и белков, специфично связывающихся с гиалуроновой кислотой [5].
В первые сутки нормального заживления ран отмечается повышенная концентрация гиалуроновой кислоты (8). Гиалуроновая кислота связывается с фибриновой сетью, образуя переходный матрикс, который стимулирует активацию гранулоцитов, микрофагов и фибробластов [8].
Улучшается перенос факторов роста, высвобождающихся из клеток, усиливается миграция фибробластов и пролиферация эпителиальных клеток [8]. Мелкие молекулы гиалуроновой кислоты, образующиеся при распаде и перестройке матрикса (гиалуроновая кислота фибрин), обладают действием, усиливающим ангиогенез [9, 10].
Влияние гиалуроната цинка на процесс заживления ран
ФАГОЦИТОЗ
Посредством усиления фагоцитоза способствует более полному очищению раны от некротических тканевых элементов.
ТРОФИЧЕСКИЙ ФАКТОР
Вследствие усиления активности макрофагов увеличивается образование трофического фактора, который при помощи хемотаксиса привлекает фибробласты и эндотелиальные клетки в пораженную область.
МОБИЛИЗАЦИЯ
Активация большого числа клеток.
ПОДВИЖНОСТЬ
Клетка способна к миграции в области раны на более дальние расстояния.
ПРОЛИФЕРАЦИЯ
Образуется большее количество фибробластов, более крупных и с большим количеством отростков.
ПРОЛИФЕРАЦИЯ
Под влиянием трофического фактора образуется большее количество клеток.
АНГИОГЕНЕЗ
Усиление образования новых капилляров, улучшение местной циркуляции и снабжения кислородом.
ПРОЛИФЕРАЦИЯ
Матрикс под эпителием, богатый гиалуронатом, делает возможным ранее образование покровного эпителиального слоя.
ВКЛЮЧЕНИЕ КОЛЛАГЕНА
Более интенсивное и раннее включение коллагена.
АНТИМИКРОБНЫЙ ЭФФЕКТ
Действующее вещество оказывает антимикробный эффект на ряд микроорганизмов, при этом уменьшается риск суперинфекций, тормозящих регенеративные процессы.
КОМПОНЕНТ ФЕРМЕНТОВ
Цинк является компонентом ферментов, участвующих в биохимическом процессе заживления ран.
Заживление ран
Цинк присутствует в организме человека как компонент более чем 70 ферментов, большинство из которых участвуют в заживлении ран. Основная часть цинка находится в коже. По данным экспериментальных работ, при заживлении ран в фазе грануляции и реэпителизации потребность в цинке повышается [11]. Ввиду того, что оральная терапия цинком обоснована лишь в случае алиментарного дефицита, местное лечение цинком представляется предпочтительным [11].
По сравнению с гиалуронатом натрия ассоциат цинкгиалуронат обладает более выраженным антимикробныи действием против штаммов золотистого стафилококка, стрептококка, кишечной и синегнойной палочек.
Трофические язвы, как правило, не обнаруживают тенденции к спонтанному излечению. Торможение заживления ран на фоне хронического воспаления происходит в экссудативной фазе до тех пор, пока микроокружение не сможет активизировать достаточное количество жизнеспособных клеток. После проведения механического или ферментативного очищения язвы основной задачей местной терапии является поддержание физиологических ранозаживляющих механизмов самого организма и подавление факторов, препятствующих заживлению (например, инфекций).
Целостность окружающего кожного покрова как источника эпителиальных клеток безусловно необходима для успешного лечения. Поэтому некоторые методы, теоретически пригодные для лечения, вследствие раздражающих, аллергизирующих побочных действий могут быть вредными для окружающего кожного покрова.
КУРИОЗИН
Раствор КУРИОЗИН ® является этиотропным средством при трофических язвах голени, пролежнях и плохо заживающих ранах. Ассоциат цинкгиалуронат создает физиологические условия для заживления ран во всех трех фазах процесса за счет создания оптимальных условий для активации, миграции и деления клеток, участвующих в регенерации тканей. В результате усиления фагоцитарной способности гранулоцитов и макрофагов, пролиферации фибробластов и стимуляции ангионеза становится возможным образование рубцовой ткани с реэпителизацией. Заживление ран ускоряется, и благодаря антисептическому эффекту уменьшается частота бактериальных суперинфекций.
уменьшает болезненность при перевязках, препятствуя присыханию повязки
возможность применения и на гиперкератозных, экзематозных, волосяных кожных покровах
возможность применения у больных, сенсибилизированных к другим местным средствам
оптимальное соотношение "ценакачество"
Литература
1. Biro Istvan: Decubitos. Golden Book Kiado Kft. 1993.
2. Attila Nemes: Заболевания вен и лечение. Будапешт, "Медицина", 1986.
3. J.Scott: Secondary structures in hyaluronan solutions: chemical and biological implications. The biology of hyaluronan. Wiley, Chichester 1989 (Ciba Found. Symp. 143), p.248264.
4. R.F.Parrish and W.R.Fair: Selective binding of zink ions to heparin rather than to other glicosamino-glicans. Biochem. J. 193, 407410, 1981.
5. C.B.Underhill: The interaction of hyaluronate with the cell surface: the hyaluronate receptor and the core protein. The biology of hyaluronan. Wiley, Chichester 1989 (Ciba Found. Symp. 143), p.60-86.
6. James Gailit, Richard A.F.Clark: Wound repair in the context of extracellular matrix. Current Opinion in Cell Biology, 1994, 6:717725.
7. W.D.Comper, T.G.Layrent: Physiological function of connective tissue polisaccharides. Phys. Rev 1978, 58:255315.
8. Karen L. Goa, Paul Benfield: Hyaluronic acid. A Review of its Pharmacology and Use as a Surgical Aid in Ophtalmology and its Therapeutic Potential in Joint Disease and Wound Healing. Drugs 47 (3), 536566, 1994.
9. Paul H. Weigel: The spacific interaction between fibrin(ogen) and hyaluronan: possible consenquences in haemostases, inflammation and wound healing. The biology of hyaluronan. Wiley, Chichester 1989 (Ciba Found. Symp. 143), p.248264.
10. D.C. West: Angiogenesis Induced by Degradation Products of Hyaluronic Acid. Science, 1985, Vol. 228, p. 13241326.
11. A.B.G.Lansdown: Zink in the healing wound. The Lancet. 1996, Vol. 347, p. 706707.